Ad space available
reach us at pinoyau@gmail.com.
Hey Everyone! Admin here, It's a bit overdue but I will be migrating our forum site to a new platform for better security. I will take out all the ads as well as these pesky spammers. Please expect a bit of issues here and there, and will slowly move the features to the new one. Don't worry we are very much alive and will be alive as long as I'm here :)

Family sponsored stream docs

Don VillanuevaDon Villanueva PhilippinesPosts: 9Member
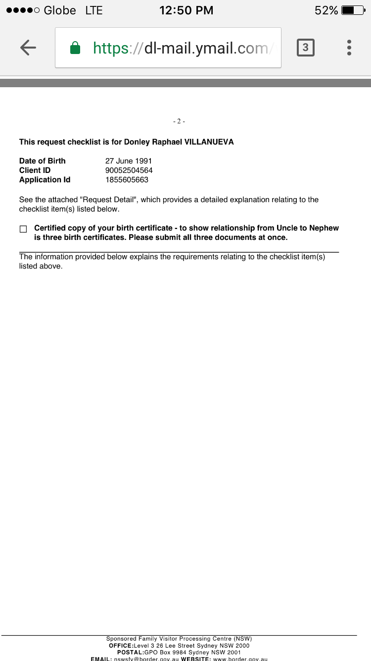
Hi guys i just would like to ask what do they mean about this? (See attachment) i already sent them my birth certificate and my uncles birth certificate. What documents do i need to send them to prove the relationship with my uncle? Thanks!
Sign In or Register to comment.
LATEST 10 ACTIVE DISCUSSION THREAD
angel_iq4

Melbourne or Sydney

most recent by Admin

angel_iq4
angel_iq4

Gamer?

most recent by smashromasa

angel_iq4

BIG MOVE

most recent by charls059

Welcome to Pinoy AU Community!

The longest running Pinoy-Australian Forum site in the history. We are connecting Pinoys "in" and "to" Australia since 2010! If you want to join in, click one of these buttons!

Categories

Random Members
(56596)

jgabrogarbrownsugar149anthonyozkhaleesi2016jeramy1234james_pangilinan15phil1122dramacooljersey.galvadorashleynete475rubienegi23dennis.tinglelindorachelRoseLlanaaltairAnnmajashmakerchipIcyInTheSky
Browse Members

Members Online (0) + Guest (161)

Top Posters

  • No Posting Yet

Top Active Contributors

Top Posters

🚀 We’re Upgrading the Mothership!

Our site is moving to a shiny new platform.
The engines are warming up, the crew is busy, and it may take a little while ⏳.

Sit tight, we’ll be back better, faster, and cooler than ever. 🌌