Ad space available
reach us at pinoyau@gmail.com.
Hey Everyone! Admin here, It's a bit overdue but I will be migrating our forum site to a new platform for better security. I will take out all the ads as well as these pesky spammers. Please expect a bit of issues here and there, and will slowly move the features to the new one. Don't worry we are very much alive and will be alive as long as I'm here :)

October 2017 Visa 189/190/489/457

17273757778128

Comments

  • akoaypinoyakoaypinoy South Korea
    Posts: 269Member
    Joined: Dec 10, 2016
    @chococrinkle yes possible po yun kung you are aiming for DG. current trend is 45 to 50 days before DG or CO contact so kung within that span of time macomplete mo lahat pwede pa din talaga maDG.
  • siantiangcosiantiangco Batangas City
    Posts: 417Member
    Joined: Oct 24, 2017
    @chococrinkle well, i think it’s safe to assume na aabot pa yun planned timeline mo before an assigned case officer opens up your case. I did the medical after a week I lodged my application.
  • dutchmilkdutchmilk Newcastle NSW
    Posts: 258Member
    Joined: Feb 06, 2016
    @chococrinkle hi! in our case, it took 10 days bago kami binigyan ng HAPID. under agency kc kami but I guess, yes possible na ma DG ka if you will have your medicals after 3 weeks from lodging the visa, provided if everything is cleared right away. goodluck sa application mo! :)
  • chococrinklechococrinkle Adelaide
    Posts: 584Member
    Joined: Nov 19, 2017
    @akoaypinoy @siantiangco @dutchmilk Thank you po sa feedback nyo. Really very helpful. :-)

    2014 -- start of Au dream
    06.07.14 -- IELTS LRWS 7.5/7.5/7.0/7.0
    07.18.14 -- positive skills assessment
    08.01.14 -- waiting for occupation in ACT to open
    08.01.15 -- still waiting for occupation in ACT to open
    08.01.16 -- still waiting for occupation in ACT to open
    06.07.17 -- expired IELTS
    07.18.17 -- expired skills assessment
    08.2017 -- learned high points via SA 489
    11.22.17 -- PTE Academic exam LRWS 90/79/90/90
    11.22.17 -- result of Vetassess assessment renewal
    11.30.17 -- EOI lodge SA 489 80 pts
    12.22.17 -- received SA invitation
    01.04.18 -- Visa Lodge SA 489
    01.19.18 -- Medicals
    04.10.18 -- Visa Grant (DG) Praise God!!!


    PTE Writing Tips

    For writing essay I used E2 language format and applying what I learned from Ielts. Sa intro, sa 1st sentence ni restate ko lang yung question using my own words. Then sa 2nd sentence if one sided lang yung question, I give summary of the reasons ( 2 reasons only). Example, if ang essay is about importance of computers (one sided), eto 2nd sentence ko. Computers are valuable resources as they (1st reason) aid in learning and are (2nd reason) used to communicate with others. Then sa 3rd sentence sasabihin ko para pampahaba-- In this essay, I shall discuss my point of view by giving points and examples about the topic.

    Then sa 2nd paragraph, elaborate ko na ang 1St reason. Mga 2 sentences na magsupport sa 1st reason, like if yung 1st reason ko is aid in learning, expand ko ang topic by answering how computers aid in learning,etc. Usually yung reason mo convert mo by asking how, what, when, or who. Tapos sa 3rd sentence, I state examples. Pwede ka din mag add pa ng 4th sentence parang isummarize mo lang ang 2nd paragraph.

    Sa 3rd paragraph discuss naman ang 3rd reason same sa ginawa sa 2nd par.

    4Th paragraph 1st sentence conclusion, then 2nd sentence recommendation.

    If 2 sided naman yung intro pwede mo gamitin yung nasa template like kina Heprex na samples. Then yung 2nd par yung kabilang side, then yung 3rd paragraph yung other side. Tapos same last paragraph.

    If medyo nahihirapan ka sa mga ideas, research ka dito sa forum ng mga recent topics. Tapos based dun sa topic reasearch ka anong pwedeng maging points and reasons para may idea ka na ano ilalagay mo sa essay.

    Ang key talaga sa writing is dapat marami ka ideas. If nahihirapan ka mag construct ng idea try to research as much as possible. Google mo yung mga common or recent topics on pte writing tapos may mga sample questions dun,, then research mo ano possible answers para sa actual exam may idea kana ano isasagot. Tapos dpat familiarize mo mga connectors (like moreover, therefore, for instance, etc) kasi mas mataas ang grade kapag medyo complex ang sentence na ginagamit mo kesa simple sentences lang.

    For summarize written text strategy ko is to first get ano main topic. Then analyze what important points were given, may nangyari ba? If meron ano ang nangyari, kelan nangyari? ano at para kanino ang purpose? Usually kasi sa mga paragraphs naka detail lang pero yung point lang naman dun is parang dinedescribe lang yung main topic. If you can answer who/what, when, how and why about the topic pwede mo na pagdugtungin yung ideas mo thru connectors and form a sentence. If you will have multiple paragraphs, summarize mo muna per paragraph then summarize mo ulit lahat in one sentence

    Another tip also in writing as much as possible do not repeat the same words. If you dont have much stored knowledge about synonyms okay lang. Practice and Research is the key. Kaya malaki ang help sa akin yung pag research sa mga common or recent topics kasi while practicing pwede akong mghanap ng synonyms then mas madali ko syang ma recall sa actual exam kasi nagawa ko na sya before. Tapos if meron kayong word na ma encounter na parang hirap kayo mag elaborate, google nyo din anong synonym or phrases na pwedeng same meaning ng word. Share ko yung nilista kong mga synonyms na possible na magagamit sa mga essay kasi minsan these are the topics commonly asked.

    Essay synonyms

    Discuss- cite, mention, illustrate, narrate, elucidate, talk about

    Finally.. Concluded, In Summary

    Democracy- representative govt; elective govt; republic; commonwealth

    Vote- suffrage, ballot, poll, elect officials, select leaders, appoint, designate

    Leaders- officials, officer, commander, chief, head, principal of nations, pioneer, front runner

    Nature- mother earth, environment, wildlife, universe, cosmos, countryside, natural resources, natural world

    Environment- habitat, territory, domain, surroundings

    Teachers- educator, tutor, coach,guide, mentor, guru, professor, trainer, lecturer

    Computer- PC, laptop, netbook,desktop, terminal, mainframe

    Robot- automated individual, android, automaton, golem, bot, droid,

    Invention- creation, innovation, development, design

    Creative ability- inventive mind, originality, imagination, inspiration

    Airplane- plane, airliner, jet, plane

    Drugs- medicine, medication, remedy, cure, antidote

    Issue- matter, affairs, problem, difficulty, obstacle, predicament

    Information- details, particulars, facts, data, computing /computer

    Revolution- insurgence, transformation, innovation, revolt, uprising, restructuring

    Packaging- case, wrap

    Region, province, rural area, district, territory, district, area

    Boon- blessing, benefit, advantage

    Tourist- traveler, vacationer, visitor

    Tourism- visits to places of interest; commercial organization and operation of vacations; traveling to places; services provided to people for holidays

    Technology- invention, engineering, applied science, method, technical knowledge, undustrial science, mechanization

    Xenophobic- anti nationalist

  • mespedidomespedido Singapore
    Posts: 302Member
    Joined: Aug 02, 2017
    edited November 2017
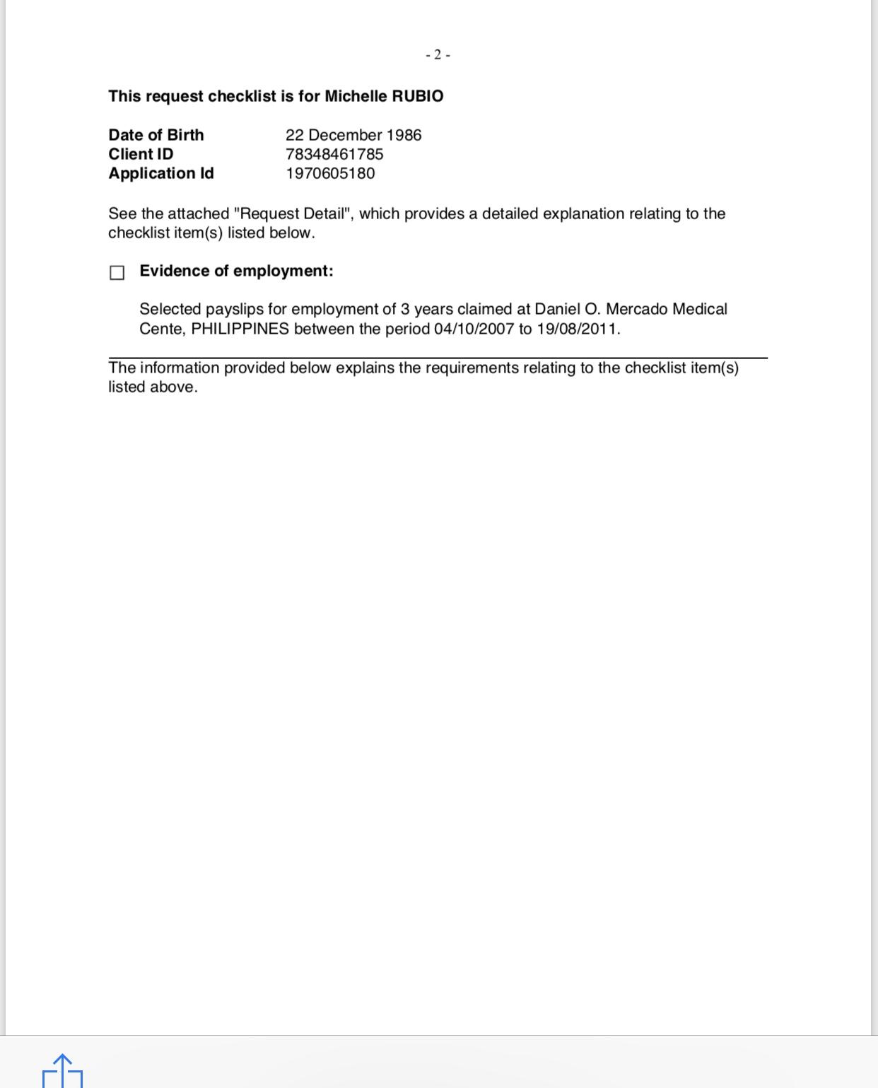
    Got CO contact today, asking for additional proof of employment. I knew it talaga☹️ Kasi walang Itr, payslip or bank statement ang pinas experience ko. I only provided reference letter and sss contri huhu
  • HeprexHeprex Melbourne
    Posts: 2,109Member
    Joined: Aug 03, 2016
    @mespedido ouch sir, sayang. anong GSM office sir? gawin mo na lang din yung ginawa ng iba dito, nag affidavit.

    263111 - Computer Network and Systems Engineer | Age: 30pts | Education: 15pts | Experience: 5pts | English: 20pts | Total: 70pts
    .
    03.08.2016 - joined pinoyau forum
    12.08.2016 - Start collating documents needed for ACS assessment.
    17.11.2016 - CTC'd and Submitted online ACS Assessment.
    28.11.2016 - ACS Result Suitable (AQF Advance Diploma, 5 years deducted) - Sent Appeal Application
    05.12.2016 - ACS Appeal Successful (AQF Bachelor Degree, 2 years deducted)
    21.12.2016 - Submitted EOI 189/190(NSW) (60/65)
    07.09.2017 - Update EOI 189 to 70pts
    20.09.2017 - INVITED!!!
    02.10.2017 - NBI Appointment - Hit for Wifey
    09.10.2017 - Medical @ Nationwide Makati - NBI Release for Wifey
    10.10.2017 - Medical Cleared (Both) - Visa 189 Application Lodge - Frontloaded All Documents
    20.02.2018 - GRANTED!! FINALLY!!! 02 Oct 2018 IED
    *****AFTER GRANT*****
    20.03.2018 - CFO/PDOS
    28.05.2018 - Initial Entry
    31.07.2018 - Big Move (Melbourne)
    .
    Days Count since Lodging: 133 days - counting ends here!!
    .

    CITIZENSHIP TIMELINE

    Date applied: 06 July 2022
    City/Council area: City of Maroondah (VIC)
    Online / Paper: Online
    Date received the acknowledgement email: 06 July 2022
    Received Citizenship Interview & Test Appointment letter: 09 Feb 2023
    Date of the Citizenship Test: 15 Feb 2023
    Citizenship Approval: 15 Feb 2023
    Received Ceremony Invitation: 08 May 2023
    Date of ceremony: 07 June 2023
    .
    .
    Road to Superior:
    20.12.2016 - L68/R70/S83/W65
    16.01.2017 - L63/R74/S80/W59
    *****wedding preps*****
    26.06.2017 - L61/R75/S82/W72
    05.07.2017 - L71/R90/S83/W74
    24.07.2017 - L78/R82/S88/W80 - DAMN!!!
    01.08.2017 - L72/R78/S88/W70
    08.08.2017 - L73/R90/S90/W73
    14.08.2017 - L73/R81/S84/W83
    **********Haitus********
    06.09.2017 - L89/R88/S90/W81 - YEEEEYYYY!!!!
    .
    .
    Mock Test:
    16.12.2016 - Set A - L71/R58/S56/W64
    17.12.2016 - Set B - L73/R61/S71/W67
    .
    .
    List of documents I submitted: (updated Feb 2018) http://pinoyau.info/discussion/comment/282889/#Comment_282889
    Tip #TeamFeedback: http://pinoyau.info/discussion/comment/282580/#Comment_282580
    Sample recording: https://app.box.com/s/au3bmauev40mvffwdq3fvrrd59yqqs1w
    My PTE tips: http://pinoyau.info/discussion/comment/257891/#Comment_257891
    PTE Resources:
    https://drive.google.com/folderview?id=0B2kJYAKd2peiNUMwU01IQ1Z2djA&usp=sharing
    http://pinoyau.info/discussion/6364/pte-review-materials/p1
    ptestudy.com
    http://thevsquare.blogspot.com/
    .
    .
    Are you into stock market investing? Are you looking to invest in US stock Market? Are you OZ citizen or a PR already in OZ?
    I recommend using Stake App to get into US market. It has $0 brokerage fee, and no commission. Just pay the FOREX rate when you transfer funds to your AU to US Stake App. You can earn Free stock if you use my referral code below:
    .
    Invest in US Stocks and ETFs on Stake. Join today using my referral code jeffrexo362 and we can both get a free stock.
    .
    https://hellostake.com/au/referral?referrer=jeffrexo362
    .
    .
    11:11

  • siantiangcosiantiangco Batangas City
    Posts: 417Member
    Joined: Oct 24, 2017
    @Heprex same day pala kayo sir naglodge, dg na sana yan
  • mespedidomespedido Singapore
    Posts: 302Member
    Joined: Aug 02, 2017
    @Heprex anong assurance nung affidavit? Check mo na yung sau.. Baka meron kna din. DG na yan!
  • mespedidomespedido Singapore
    Posts: 302Member
    Joined: Aug 02, 2017
    GSM adelaide- CO Anna yung sakin
  • HeprexHeprex Melbourne
    Posts: 2,109Member
    Joined: Aug 03, 2016
    @siantiangco sana nga sir. Hehehe

    @mespedido nakalimutan ko, mam po pala kayo sorry. Hehe if kaya mo pa tlaga mahalungkat, bigay mo po. Pero kung wala na tlga affidavit na lang, not sure sa assurance nyan. Pero best to declare na under your name or company na wala na talaga sila na mai-produce.

    Received pa din po ststus nung akin. Hehe

    263111 - Computer Network and Systems Engineer | Age: 30pts | Education: 15pts | Experience: 5pts | English: 20pts | Total: 70pts
    .
    03.08.2016 - joined pinoyau forum
    12.08.2016 - Start collating documents needed for ACS assessment.
    17.11.2016 - CTC'd and Submitted online ACS Assessment.
    28.11.2016 - ACS Result Suitable (AQF Advance Diploma, 5 years deducted) - Sent Appeal Application
    05.12.2016 - ACS Appeal Successful (AQF Bachelor Degree, 2 years deducted)
    21.12.2016 - Submitted EOI 189/190(NSW) (60/65)
    07.09.2017 - Update EOI 189 to 70pts
    20.09.2017 - INVITED!!!
    02.10.2017 - NBI Appointment - Hit for Wifey
    09.10.2017 - Medical @ Nationwide Makati - NBI Release for Wifey
    10.10.2017 - Medical Cleared (Both) - Visa 189 Application Lodge - Frontloaded All Documents
    20.02.2018 - GRANTED!! FINALLY!!! 02 Oct 2018 IED
    *****AFTER GRANT*****
    20.03.2018 - CFO/PDOS
    28.05.2018 - Initial Entry
    31.07.2018 - Big Move (Melbourne)
    .
    Days Count since Lodging: 133 days - counting ends here!!
    .

    CITIZENSHIP TIMELINE

    Date applied: 06 July 2022
    City/Council area: City of Maroondah (VIC)
    Online / Paper: Online
    Date received the acknowledgement email: 06 July 2022
    Received Citizenship Interview & Test Appointment letter: 09 Feb 2023
    Date of the Citizenship Test: 15 Feb 2023
    Citizenship Approval: 15 Feb 2023
    Received Ceremony Invitation: 08 May 2023
    Date of ceremony: 07 June 2023
    .
    .
    Road to Superior:
    20.12.2016 - L68/R70/S83/W65
    16.01.2017 - L63/R74/S80/W59
    *****wedding preps*****
    26.06.2017 - L61/R75/S82/W72
    05.07.2017 - L71/R90/S83/W74
    24.07.2017 - L78/R82/S88/W80 - DAMN!!!
    01.08.2017 - L72/R78/S88/W70
    08.08.2017 - L73/R90/S90/W73
    14.08.2017 - L73/R81/S84/W83
    **********Haitus********
    06.09.2017 - L89/R88/S90/W81 - YEEEEYYYY!!!!
    .
    .
    Mock Test:
    16.12.2016 - Set A - L71/R58/S56/W64
    17.12.2016 - Set B - L73/R61/S71/W67
    .
    .
    List of documents I submitted: (updated Feb 2018) http://pinoyau.info/discussion/comment/282889/#Comment_282889
    Tip #TeamFeedback: http://pinoyau.info/discussion/comment/282580/#Comment_282580
    Sample recording: https://app.box.com/s/au3bmauev40mvffwdq3fvrrd59yqqs1w
    My PTE tips: http://pinoyau.info/discussion/comment/257891/#Comment_257891
    PTE Resources:
    https://drive.google.com/folderview?id=0B2kJYAKd2peiNUMwU01IQ1Z2djA&usp=sharing
    http://pinoyau.info/discussion/6364/pte-review-materials/p1
    ptestudy.com
    http://thevsquare.blogspot.com/
    .
    .
    Are you into stock market investing? Are you looking to invest in US stock Market? Are you OZ citizen or a PR already in OZ?
    I recommend using Stake App to get into US market. It has $0 brokerage fee, and no commission. Just pay the FOREX rate when you transfer funds to your AU to US Stake App. You can earn Free stock if you use my referral code below:
    .
    Invest in US Stocks and ETFs on Stake. Join today using my referral code jeffrexo362 and we can both get a free stock.
    .
    https://hellostake.com/au/referral?referrer=jeffrexo362
    .
    .
    11:11

  • agdagd Singapore
    Posts: 773Member
    Joined: Jun 12, 2017
    edited November 2017
    mespedido said:

    Got CO contact today, asking for additional proof of employment. I knew it talaga☹️ Kasi walang Itr, payslip or bank statement ang pinas experience ko. I only provided reference letter and sss contri huhu

    awww. ang higpit pala. pag walang ni-claim na work experience sana hindi na mag-provide ng ganyan.

    261312 Developer Programmer - (English - 20pts | Age - 30pts. | Qualification - 10 | Experience - 0 ) = 60pts.

    Subclass 189 - 60pts.
    Subclass 190 - (60 + 5 spouse points + 5 SN) = 70pts.

    08/04/2016 - Took IELTS - L/R/W/S - 6.5/7/6.5/7 - Competent
    05/17/2017 - PTE Mock A - L/R/W/S - 74/62/66/76
    05/19/2017 - PTE Mock B - L/R/W/S - 76/70/72/89
    05/30/2017 - PTE Take 1 - L/R/W/S - 79/75/78/78 - Proficient
    06/06/2017 - PTE Take 2 - L/R/W/S - 82/87/90/88- Superior - Thank you, Lord! :)

    PTE Tips: http://pinoyau.info/discussion/4233/pte-academic/p465#Comment_245887

    06/14/2017 - Collection of docs for ACS Assessment
    06/21/2017 - Submitted ACS Assessment
    08/14/2017 - ACS Result Positive. Equivalent to AQF Associate Degree. 5 years experience deducted.
    08/15/2017 - Gathering docs for spouse points (VETASSESS)
    08/22/2017 - Lodged spouse's VETASSESS
    10/05/2017 - VETASSESS results positive - aquired 5pts. for 190
    10/07/2017 - Submitted EOI - 189, 190-NSW, 190-VIC
    10/20/2017 - ITA NSW Received!
    10/22/2017 - Submitted NSW Application
    11/28/2017 - NSW SS Approved! Received ITA for visa 190

    ---------------Gathering docs for visa lodge---------------

    -------------------- Christmas Break --------------------

    01-19-2018 - Visa lodge, SG eAppeal
    01-23-2018 - SG eAppeal Approved
    01-25-2018 - Wife's SG eAppeal Approved
    02-03-2018 - Medical - wife and me
    02-05-2018 - Medical - kids
    02-08-2018 - Medical - Daughter - IGRA
    02-14-2018 - Form 815 Health Undertaking for daughter
    04-27-2018 - 1st CO Contact: Parental Consent/Form 1229
    05-22-2018 - 2nd CO Contact: Wife's Statutory Declaration
    08-21-2018 - 3rd CO Contact: Repeat Medical - Daughter
    09-21-2018 - VISA GRANT! Thank you Lord!

    11-11-2018 - IE (Medicare, Centrelink, NSW DL)
    April 2019 - Target BM with wife
    January 2020 - Target BM - 3 kids

  • siantiangcosiantiangco Batangas City
    Posts: 417Member
    Joined: Oct 24, 2017
    @agd hopefully sir although there are some cases na nahingi sila ng docs kahit di ka nag claim ng pts
  • siantiangcosiantiangco Batangas City
    Posts: 417Member
    Joined: Oct 24, 2017
    @Heprex wait natin till 3pm. Hehe
  • GrifterGrifter Posts: 458Member
    Joined: Oct 19, 2016
    @mespedido hello. Tanong ko lang po kung nagclaim po ba kayo sa experience na hinihingan ni CO? Saka po anong year ung experience nyo dun?
  • agdagd Singapore
    Posts: 773Member
    Joined: Jun 12, 2017
    @siantiangco oo nga sir, wala kasi akong na-claim na kahit anong experience talaga. pero mas ok siguro magprovide nalang, just in case.

    261312 Developer Programmer - (English - 20pts | Age - 30pts. | Qualification - 10 | Experience - 0 ) = 60pts.

    Subclass 189 - 60pts.
    Subclass 190 - (60 + 5 spouse points + 5 SN) = 70pts.

    08/04/2016 - Took IELTS - L/R/W/S - 6.5/7/6.5/7 - Competent
    05/17/2017 - PTE Mock A - L/R/W/S - 74/62/66/76
    05/19/2017 - PTE Mock B - L/R/W/S - 76/70/72/89
    05/30/2017 - PTE Take 1 - L/R/W/S - 79/75/78/78 - Proficient
    06/06/2017 - PTE Take 2 - L/R/W/S - 82/87/90/88- Superior - Thank you, Lord! :)

    PTE Tips: http://pinoyau.info/discussion/4233/pte-academic/p465#Comment_245887

    06/14/2017 - Collection of docs for ACS Assessment
    06/21/2017 - Submitted ACS Assessment
    08/14/2017 - ACS Result Positive. Equivalent to AQF Associate Degree. 5 years experience deducted.
    08/15/2017 - Gathering docs for spouse points (VETASSESS)
    08/22/2017 - Lodged spouse's VETASSESS
    10/05/2017 - VETASSESS results positive - aquired 5pts. for 190
    10/07/2017 - Submitted EOI - 189, 190-NSW, 190-VIC
    10/20/2017 - ITA NSW Received!
    10/22/2017 - Submitted NSW Application
    11/28/2017 - NSW SS Approved! Received ITA for visa 190

    ---------------Gathering docs for visa lodge---------------

    -------------------- Christmas Break --------------------

    01-19-2018 - Visa lodge, SG eAppeal
    01-23-2018 - SG eAppeal Approved
    01-25-2018 - Wife's SG eAppeal Approved
    02-03-2018 - Medical - wife and me
    02-05-2018 - Medical - kids
    02-08-2018 - Medical - Daughter - IGRA
    02-14-2018 - Form 815 Health Undertaking for daughter
    04-27-2018 - 1st CO Contact: Parental Consent/Form 1229
    05-22-2018 - 2nd CO Contact: Wife's Statutory Declaration
    08-21-2018 - 3rd CO Contact: Repeat Medical - Daughter
    09-21-2018 - VISA GRANT! Thank you Lord!

    11-11-2018 - IE (Medicare, Centrelink, NSW DL)
    April 2019 - Target BM with wife
    January 2020 - Target BM - 3 kids

  • rj09rj09 Australia
    Posts: 112Member
    Joined: Aug 10, 2016
    .
    mespedido said:

    Got CO contact today, asking for additional proof of employment. I knew it talaga☹️ Kasi walang Itr, payslip or bank statement ang pinas experience ko. I only provided reference letter and sss contri huhu

    nagclaim ka ng points for this employment kaya ka hiningan? yung first work ko kasi sa pinas COE, SSS tsaka isang payslip lang meron ako, wala na talaga kong mahugot na iba pang proof. pero di ako nagclaim ng points for this employment. sana lang enough na yung naprovide ko.

    261313 -Software Engineer | Age: 30pts | Education: 15 | Experience: 15 | English: 10 | Total: 70

    Aug 2016 - Joined Pinoy AU Forum
    Jul 17, 2017 - Start preparing docs for ACS
    Aug 14, 2017 - Submitted application for ACS assessment
    Sep 11, 2017 - PTE exam. L: 90 - S: 80 - R: 78 - W: 82 (Sayang! Superior na sana)
    Sep 20, 2017 - Received my ACS Assessment
    Sep 26, 2017 - PTE Retake L: 83 - S: 77 - R: 87 - W: 88 (sayang na naman hindi umabot!)
    Oct 21, 2017 - EOI Lodged (189 - 70 pts)
    Nov 8, 2017 - Received ITA for 189
    Nov 13, 2017 - Lodged Visa 189
    Nov 20, 2017 - NBI Fingerprinting and SG COC Fingerprinting appointment (Received SG COC on the same day)
    Dec 2, 2017 - Medical @ SATA AMK (Me & my Daughter)
    Dec 5, 2017 - Medical @ SATA AMK (Husband) and TST Reading for our daughter
    Dec 7, 2017 - Medical cleared (Husband & Daughter). No action required.
    Dec 11, 2017 - Medical cleared (primary applicant). No action required.
    Feb 1, 2018 - CO Contact. Requested Form 815 Health Undertaking for my daughter. Submitted the form on the same day.
    March 8, 2018 - Got our grant!! Thank you Lord!
    July 2, 2018 - Husband's Big Move (Melbourne)
    Sept 14, 2018 - Me and my daughter's Big Move

  • mespedidomespedido Singapore
    Posts: 302Member
    Joined: Aug 02, 2017
  • mespedidomespedido Singapore
    Posts: 302Member
    Joined: Aug 02, 2017
    Nagclaim ako ng experience dun sa 2007-2011 pinas experience. Sss and ref letter with my compensation lang naprovide ko kasi wala na talaga ako mahugot. Nakaspecify dun sa email ng CO ko na need nya yung payslip. Hay wala na talaga ako mkuha since sobrang tagal na nun
  • mespedidomespedido Singapore
    Posts: 302Member
    Joined: Aug 02, 2017
    So hindi lang payslip yung ipprovide ko is it? Any experience dun sa mga naCO contact and asked for additional proof of employment?
  • mespedidomespedido Singapore
    Posts: 302Member
    Joined: Aug 02, 2017
    @PampangasBest anong pnrovide mo na addtional proof of employment?
  • akoaypinoyakoaypinoy South Korea
    Posts: 269Member
    Joined: Dec 10, 2016
    @mespedido how about bank statement? kung wala na talaga stat declaration na lang.
  • kymmekymme Western Australia
    Posts: 1,284Member
    Joined: Apr 10, 2015
    @mespedido hi po. yung hiningi sayo na extra docs, ing claim po kau points nun?

    Registered Nurse Nec

    06/15 - touchdown Oz
    07/15 - start of classes (Bachelor in Nursing)
    05/16 - passed OET (after 4 failed attempts with IELTS and PTE)
    07/16 - finished uni
    07/16 - received AHPRA Australian Registered Nurse rego
    08/16 - student visa 500 (Diploma)
    10/16 - started working as an RN

    07/09/17 - Submitted EOI for State Nom Vic with 60points

    I can do all things through Christ who strengthens me

  • zballesteroszballesteros Japan
    Posts: 120Member
    Joined: Sep 15, 2017
    good day po sa lahat!
    pasensya n po kung medyo off topic.
    waiting plng po ako ng EA assessment, then gusto ko na sana kumuha ng police clearance dito sa japan kasi mtgal dw prinoprocess dito ang PCC.

    kaso lng may requirement sila na ganito:

    "Persons applying for the Police Clearance Certificate
    are required to submit a certificate from a public agency (embassy, immigration bureau, etc.) representing the country (or territory, etc.) of their destination"

    may idea po ba kayo ano yang tinutukoy nila na certificate at pano yan makukuha?
  • HeprexHeprex Melbourne
    Posts: 2,109Member
    Joined: Aug 03, 2016
    @zballesteros baka yung letter pag na-invite ka na. not sure though. tagging @lottysatty kumuha din sya ng Japan PCC.

    263111 - Computer Network and Systems Engineer | Age: 30pts | Education: 15pts | Experience: 5pts | English: 20pts | Total: 70pts
    .
    03.08.2016 - joined pinoyau forum
    12.08.2016 - Start collating documents needed for ACS assessment.
    17.11.2016 - CTC'd and Submitted online ACS Assessment.
    28.11.2016 - ACS Result Suitable (AQF Advance Diploma, 5 years deducted) - Sent Appeal Application
    05.12.2016 - ACS Appeal Successful (AQF Bachelor Degree, 2 years deducted)
    21.12.2016 - Submitted EOI 189/190(NSW) (60/65)
    07.09.2017 - Update EOI 189 to 70pts
    20.09.2017 - INVITED!!!
    02.10.2017 - NBI Appointment - Hit for Wifey
    09.10.2017 - Medical @ Nationwide Makati - NBI Release for Wifey
    10.10.2017 - Medical Cleared (Both) - Visa 189 Application Lodge - Frontloaded All Documents
    20.02.2018 - GRANTED!! FINALLY!!! 02 Oct 2018 IED
    *****AFTER GRANT*****
    20.03.2018 - CFO/PDOS
    28.05.2018 - Initial Entry
    31.07.2018 - Big Move (Melbourne)
    .
    Days Count since Lodging: 133 days - counting ends here!!
    .

    CITIZENSHIP TIMELINE

    Date applied: 06 July 2022
    City/Council area: City of Maroondah (VIC)
    Online / Paper: Online
    Date received the acknowledgement email: 06 July 2022
    Received Citizenship Interview & Test Appointment letter: 09 Feb 2023
    Date of the Citizenship Test: 15 Feb 2023
    Citizenship Approval: 15 Feb 2023
    Received Ceremony Invitation: 08 May 2023
    Date of ceremony: 07 June 2023
    .
    .
    Road to Superior:
    20.12.2016 - L68/R70/S83/W65
    16.01.2017 - L63/R74/S80/W59
    *****wedding preps*****
    26.06.2017 - L61/R75/S82/W72
    05.07.2017 - L71/R90/S83/W74
    24.07.2017 - L78/R82/S88/W80 - DAMN!!!
    01.08.2017 - L72/R78/S88/W70
    08.08.2017 - L73/R90/S90/W73
    14.08.2017 - L73/R81/S84/W83
    **********Haitus********
    06.09.2017 - L89/R88/S90/W81 - YEEEEYYYY!!!!
    .
    .
    Mock Test:
    16.12.2016 - Set A - L71/R58/S56/W64
    17.12.2016 - Set B - L73/R61/S71/W67
    .
    .
    List of documents I submitted: (updated Feb 2018) http://pinoyau.info/discussion/comment/282889/#Comment_282889
    Tip #TeamFeedback: http://pinoyau.info/discussion/comment/282580/#Comment_282580
    Sample recording: https://app.box.com/s/au3bmauev40mvffwdq3fvrrd59yqqs1w
    My PTE tips: http://pinoyau.info/discussion/comment/257891/#Comment_257891
    PTE Resources:
    https://drive.google.com/folderview?id=0B2kJYAKd2peiNUMwU01IQ1Z2djA&usp=sharing
    http://pinoyau.info/discussion/6364/pte-review-materials/p1
    ptestudy.com
    http://thevsquare.blogspot.com/
    .
    .
    Are you into stock market investing? Are you looking to invest in US stock Market? Are you OZ citizen or a PR already in OZ?
    I recommend using Stake App to get into US market. It has $0 brokerage fee, and no commission. Just pay the FOREX rate when you transfer funds to your AU to US Stake App. You can earn Free stock if you use my referral code below:
    .
    Invest in US Stocks and ETFs on Stake. Join today using my referral code jeffrexo362 and we can both get a free stock.
    .
    https://hellostake.com/au/referral?referrer=jeffrexo362
    .
    .
    11:11

  • mespedidomespedido Singapore
    Posts: 302Member
    Joined: Aug 02, 2017
    @kymme yes po nagclaim po ako ng points dun
  • mespedidomespedido Singapore
    Posts: 302Member
    Joined: Aug 02, 2017
    @akoaypinoy pero nakaspecify kasi sa email na need nila ung payslips etc
  • akoaypinoyakoaypinoy South Korea
    Posts: 269Member
    Joined: Dec 10, 2016
    @mespedido kung wala ka na talaga maprovide na pay slips stat declaration will suffice plus bank statement (if possible) because it is a very strong evidence that you are employed within that time and paid by the company. madame na gumawa nun dito.
  • akoaypinoyakoaypinoy South Korea
    Posts: 269Member
    Joined: Dec 10, 2016
    @Heprex wala pa din? malamang nyan bukas ng umaga meron na yan. same case samen may mga naunang naCO contact with the same lodgement date tapos kinabukasan kame naman. Congrats in advance!
  • lottysattylottysatty Cebu
    Posts: 225Member
    Joined: Feb 25, 2016
    @Heprex @zballesteros hi po..sa pagkakaintindi ko, madali lang kumuha ng JPC if andyan ka sa Japan..2 to 3 months po siya f outside Japan..Kahit wala pang ITA, pwd kang makakuha ng JPC.. Nagsubmit lang po kami ng printout from the website na nagneed po ang AU ng police certificate as part of the character check..Nakamobile lang po ako ngayon..Isend ko po sa inyo later ang file..Actually, c @maiii yong nagbigay noon na inattach sa other thread..:)

    Industrial Engineer : 233511
    10/29/2016 - IELTS Exam
    11/11/2016 - IELTS Results L8 R8 W6.5 S7
    11/16/2016 - Applied Remarking
    12/15/2016 - Remarking for Writing Unchanged
    1/31/2017 - Submitted Fast Track EA Assessment
    2/14/2017 - PTE Exam
    2/18/2017 - PTE Results L77 R68 S66 W90 (Proficient)
    3/6/2017 - EA Asked for Additional Requirements
    3/24/2017 - Submitted Additional Docs
    4/26/2017 - Received EA favorable letter
    4/28/2017 - Submitted EOI for 189 (65pts)
    9/11/2017 - PTE Exam (aiming for Superior)
    9/15/2017 - PTE Results L90 R83 S90 W90 (Superior)
    9/15/2017 - Updated EOI for 189 (75pts)
    9/20/2017 - Received ITA
    9/28/2017 - Medicals at Nationwide Cebu (Me and 2 Kids)
    10/02/2017 - Kids for IGRA Test (7am)
    10/03/2017 - Requested Japan Police Clearance for Hubby (Wait for 2-3 Months Timeline)
    10/04/2017 - Medicals for Hubby
    10/06/2017 - Received NBI Clearance after Hit
    10/11/2017 - Medicals all Cleared
    10/31/2017 - Visa Lodging
    11/23/2017 - Received Hubby's Japan Police Clearance (Actual:52 days)

  • HeprexHeprex Melbourne
    Posts: 2,109Member
    Joined: Aug 03, 2016
    @akoaypinoy wala pa din. hahhaahah baka alphabetical per country sila, puro India. hahaha

    263111 - Computer Network and Systems Engineer | Age: 30pts | Education: 15pts | Experience: 5pts | English: 20pts | Total: 70pts
    .
    03.08.2016 - joined pinoyau forum
    12.08.2016 - Start collating documents needed for ACS assessment.
    17.11.2016 - CTC'd and Submitted online ACS Assessment.
    28.11.2016 - ACS Result Suitable (AQF Advance Diploma, 5 years deducted) - Sent Appeal Application
    05.12.2016 - ACS Appeal Successful (AQF Bachelor Degree, 2 years deducted)
    21.12.2016 - Submitted EOI 189/190(NSW) (60/65)
    07.09.2017 - Update EOI 189 to 70pts
    20.09.2017 - INVITED!!!
    02.10.2017 - NBI Appointment - Hit for Wifey
    09.10.2017 - Medical @ Nationwide Makati - NBI Release for Wifey
    10.10.2017 - Medical Cleared (Both) - Visa 189 Application Lodge - Frontloaded All Documents
    20.02.2018 - GRANTED!! FINALLY!!! 02 Oct 2018 IED
    *****AFTER GRANT*****
    20.03.2018 - CFO/PDOS
    28.05.2018 - Initial Entry
    31.07.2018 - Big Move (Melbourne)
    .
    Days Count since Lodging: 133 days - counting ends here!!
    .

    CITIZENSHIP TIMELINE

    Date applied: 06 July 2022
    City/Council area: City of Maroondah (VIC)
    Online / Paper: Online
    Date received the acknowledgement email: 06 July 2022
    Received Citizenship Interview & Test Appointment letter: 09 Feb 2023
    Date of the Citizenship Test: 15 Feb 2023
    Citizenship Approval: 15 Feb 2023
    Received Ceremony Invitation: 08 May 2023
    Date of ceremony: 07 June 2023
    .
    .
    Road to Superior:
    20.12.2016 - L68/R70/S83/W65
    16.01.2017 - L63/R74/S80/W59
    *****wedding preps*****
    26.06.2017 - L61/R75/S82/W72
    05.07.2017 - L71/R90/S83/W74
    24.07.2017 - L78/R82/S88/W80 - DAMN!!!
    01.08.2017 - L72/R78/S88/W70
    08.08.2017 - L73/R90/S90/W73
    14.08.2017 - L73/R81/S84/W83
    **********Haitus********
    06.09.2017 - L89/R88/S90/W81 - YEEEEYYYY!!!!
    .
    .
    Mock Test:
    16.12.2016 - Set A - L71/R58/S56/W64
    17.12.2016 - Set B - L73/R61/S71/W67
    .
    .
    List of documents I submitted: (updated Feb 2018) http://pinoyau.info/discussion/comment/282889/#Comment_282889
    Tip #TeamFeedback: http://pinoyau.info/discussion/comment/282580/#Comment_282580
    Sample recording: https://app.box.com/s/au3bmauev40mvffwdq3fvrrd59yqqs1w
    My PTE tips: http://pinoyau.info/discussion/comment/257891/#Comment_257891
    PTE Resources:
    https://drive.google.com/folderview?id=0B2kJYAKd2peiNUMwU01IQ1Z2djA&usp=sharing
    http://pinoyau.info/discussion/6364/pte-review-materials/p1
    ptestudy.com
    http://thevsquare.blogspot.com/
    .
    .
    Are you into stock market investing? Are you looking to invest in US stock Market? Are you OZ citizen or a PR already in OZ?
    I recommend using Stake App to get into US market. It has $0 brokerage fee, and no commission. Just pay the FOREX rate when you transfer funds to your AU to US Stake App. You can earn Free stock if you use my referral code below:
    .
    Invest in US Stocks and ETFs on Stake. Join today using my referral code jeffrexo362 and we can both get a free stock.
    .
    https://hellostake.com/au/referral?referrer=jeffrexo362
    .
    .
    11:11

Sign In or Register to comment.
LATEST 10 ACTIVE DISCUSSION THREAD
angel_iq4

Melbourne or Sydney

most recent by Admin

angel_iq4
angel_iq4

Gamer?

most recent by smashromasa

angel_iq4

BIG MOVE

most recent by charls059

Welcome to Pinoy AU Community!

The longest running Pinoy-Australian Forum site in the history. We are connecting Pinoys "in" and "to" Australia since 2010! If you want to join in, click one of these buttons!

Categories

Random Members
(56596)

RazeChristina0514StephenEcotsthissnissanMT_nathjoy87aussizzgrouprnbalagtasgrayfoxKittybearPrincessAbtmfloorworxwbtimrheamanitabachoi7Kaye_Oknickeetel0690eidssjklawyersaubadilyn
Browse Members

Members Online (0) + Guest (96)

Top Posters

  • No Posting Yet

Top Active Contributors

Top Posters

🚀 We’re Upgrading the Mothership!

Our site is moving to a shiny new platform.
The engines are warming up, the crew is busy, and it may take a little while ⏳.

Sit tight, we’ll be back better, faster, and cooler than ever. 🌌